A Note On Variable Susceptibility, The Herd Immunity Threshold And Modeling Of Infectious Diseases
Nov 02, 2023
Abstract
The unfolding of the COVID-19 pandemic has been very difficult to predict using mathematical models for infectious diseases. While it has been demonstrated that variations in susceptibility have a damping effect on key quantities such as the incidence peak, the herd immunity threshold, and the final size of the pandemic, this complex phenomenon is almost impossible to measure or quantify, and it remains unclear how to incorporate it for modeling and prediction. In this work, we show that, from a modeling perspective, variability in susceptibility on an individual level is equivalent to a fraction θ of the population having an “artificial” sterilizing immunity. We also derive novel formulas for the herd-immunity threshold and the final size of the pandemic and show that these values are substantially lower than predicted by the classical formulas, in the presence of variable susceptibility. In the particular case of SARS-CoV-2, there is by now undoubtedly variable susceptibility due to waning immunity from both vaccines and previous infections, and our findings may be used to greatly simplify models. If such variations were also present prior to the first wave, as indicated by a number of studies, these findings can help explain why the magnitude of the initial waves of SARS-CoV-2 was relatively low, compared to what one may have expected based on standard models.

cistanche tubulosa-improve immune system
1 Introduction
Since the fundamental works of Kermack and McKendrick [1–3] compartmental mathematical models (such as SIR, SEIR, etc.) are used to model the spread of infectious diseases. Among other things, these papers introduced the by-now famous R0-value and showed that in contrast with human intuition, infectious disease will never infect the whole population, no matter how infectious. Instead, the incidence will start to decay when the fraction of recovered reaches the so-called “Herd-Immunity Threshold”, for which they deduced the famous formula However, prior to the SARS-CoV-2 pandemic, there was no reliable data from a novel virus (affecting humans) on which this prediction could be tested. Unfortunately, this remains largely the case, since e.g. lockdowns and voluntary isolation (which the models can not predict) had a major effect on the spread. Despite this, data from places like Sweden, which did relatively little to stop community transmission, indicate that the mathematical models have a tendency to overestimate the magnitude of the wave during a major outbreak [4]. Several factors are known to have a damping effect on model curves. One such example is variable susceptibility, see e.g. Ch. 1 and 3 in [5], and the articles [6–9]. By variable susceptibility, we here refer to (time-invariant) differences between individuals in the probability of becoming infected, given a certain exposure to the virus, as opposed to individual variations over time. Similar results have also been established numerically for other heterogeneities, such as age and activity [10]. Curiously, variable infectivity (super-spreaders) does not have any damping effect on the spread during a major outbreak [11]. In any case, such conclusions are derived using heuristic arguments or by simply testing relevant models, and the mechanisms behind these phenomena remain poorly understood. In particular, since variability in susceptibility is virtually impossible to quantify, it is unclear how to efficiently incorporate it into the models, wherefore predictions of future COVID-19 waves, or the next pandemic, continue to be a major challenge.

cistanche tubulosa-improve immune system
Concretely, suppose a novel infectious disease, whose transmission dynamics involve high variability in infectivity and/or susceptibility, is introduced in a well-connected network like a large city, and suppose a major outbreak is about to take place. One may then estimate R0, i.e. a rough estimate of the average number of new infections that one infective gives rise to, from the data series of early cases, using e.g. EpiEstim [12] or [13]. By a contact tracing study, one may also estimate the generation time Generation, which is the other parameter needed to run a SIR model. In such a scenario, one can ask the question if the output of a simple SIR simulation is a good first-order approximation of what is about to come, in the absence of Non-Pharmaceutical Interventions. Is the formula (1) a good indicator of when we may expect the outbreak to start to recede? Based on data from Sweden during the COVID-19 pandemic, the answer seems to be no, see [4] where it is shown that the incidence dropped, unexpectedly, at levels of seroprevalence much lower than predicted by (1). Of the prior theoretical studies on this topic, the article that comes closest to answering the above questions is Britton et. al. [10], where the authors prove that variations in activity patterns can significantly lower the herd-immunity threshold, in comparison with the classical estimate based on (1). An older publication with a similar message is [14]. However, these conclusions are empirical observations based on models that have been built to incorporate population heterogeneity. This damping effect has not been established mathematically and it remains unclear how, and to what extent, different heterogeneities are manifested. In particular, it remains unclear how to more accurately predict the herd-immunity threshold. We remark that, in the case of SARS-CoV-2, a number of factors such as genetic, cross-reactive immunity, and innate immunity, have been shown to provide variation in susceptibility [15–18].

cistanche tubulosa-improve immune system
Click here to view Cistanche Enhance Immunity products
【Ask for more】 Email:cindy.xue@wecistanche.com / Whats App: 0086 18599088692 / Wechat: 18599088692
1.1 Novel contributions
In this work, we prove mathematically that variations in susceptibility have a damping effect on the model curves, whereas variations in infectivity do not (as long as it is uncorrelated with the former, see [7]). More importantly, we also find that the (usually unknown) distribution describing how susceptibility varies is not needed for accurate modeling. More precisely we show that a susceptibility heterogeneous model will behave almost identically to a standard (homogeneous) SIR model where a portion of the population has sterilizing immunity and that the precise shape of the susceptibility distribution only influences the level of sterilizing immunity. It is important to underline that this immunity only exists within the mathematical model simplification, and should not be confused with the real sterilizing immunity of some individuals. In other words, even if everyone is susceptible to the virus (to some degree), on a population level it will seem as if a portion of the population have sterilizing immunity. We will refer to such an immunity, needed for accurate mathematical modeling, as “Artificial Sterilizing Immunity” (ASI), and the fraction of the population having it as θ. As long as θ can be estimated from available data, we show that the actual immunity threshold is indeed lower than (1) predicts. The correct formula, in the presence of variable susceptibility, is given by

and the final size of the pandemic is also shrunk by the same factor (1 − θ). We shall also demonstrate numerically that other population heterogeneities, such as those considered by Britton et. al. [10], have an analogous effect, and hence the findings in this paper can be used to significantly reduce the number of unknowns in a more realistic heterogeneous model for disease spread.
2 The mathematics of infectious disease spread dynamics
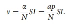
In order to explain the mathematical findings, we first give an overview of how the basic model works. SIR stands for Susceptibles, Infectives, and Recovered, and is the simplest form of a “compartmental model” used in mathematical epidemiology (see e.g. [19] for an introduction to this field). In the model, S, I, and R are functions of time t, and to illustrate how these are related we shall also introduce the (redundant) function ν describing the incidence, i.e. the amount of newly infected each day (not to be confused with I, which describes the prevalence). The formula for ν(t) is at the heart of the algorithm, and in the beginning, we simply have ν(t) = αI(t), where α is a constant that determines how many new cases an average infective gives rise to during a day. If a is the average number of daily potentially infectious contacts by an average person, and p is the probability that such contact actually leads to transmission, then α = ap. As the amount of susceptibles gradually decreases, we have to modify this by multiplying with the fraction of the population that is still susceptible. If the total population is N this fraction is S(t)/N and the formula becomes

To set up the remaining equations we also need the generation time Tgeneration, i.e. the average time it takes from infection to recovery. The remaining equations are then

where σ = 1/Tgeneration and 0 indicates differentiation. The equations are intuitively easy to understand, the incidence continuously gets withdrawn from S and added to I, and at the same time, there is a current of recovering individuals that leave I at a rate σI and appear in R instead.
Fig 1. Graphs of recovered R and prevalence I. (a) Graphs of recovered (as a fraction of the total population) for various SIR models and a fixed value of R0 = 1.66. First, we display standard SIR, then S-SIR, and finally SIR with Artificial Sterilizing Immunity (ASI) with parameters from (8). Note that they start out almost identically but that the latter two bend downwards much earlier than the first, which over-shoots the classical Herd-Immunity Threshold (HIT), whereas the second two stay closely together and level out below the classical HIT. (b) Corresponding curves for prevalence I (the Sgraphs are shown independently in Fig 2).

The SIR, and our extensions thereof, are deterministic in the sense that if we run it twice, the output is the same. Such models are believed to work well during major outbreaks, where the law of large numbers applies [5, 11]. All our findings pertain to this situation; for modeling e.g., the initial phase or household transmission, other types of models are used. The most natural initial condition for a new disease is to set I(0) = n where n < < N represents a small number of import cases arriving at time t = 0, and then set S(0) = N − n and R(0) = 0 (so everybody else is initially susceptible and no-one has yet recovered). The value of n is completely irrelevant to the shape of the curves that follow, a low value of n only gives the equation system a slower start so it takes a while longer for the outbreak to reach a certain value. Once this happens, the curves look the same independent of the value n. See the blue graphs in Fig 1 for some typical examples of R-curves and I-curves. In this model, R is always increasing and levels out on a number which is called “the final size of the pandemic” (see Fig 1a). S approximatively looks like N − R, since the prevalence I at any given time is small in comparison with the total population. The incidence ν typically looks just like I, albeit with a lower magnitude.
2.1 Contemporary Models for COVID-19
Contemporary models used by professional modeling teams usually contain many more compartments than SIR, for instance relating to age stratification, variable activity levels, geographical regions, compartments for people who need ICU, and compartments for people who die. For example, the model published by members of the Imperial College COVID-19 response team [20] has at its root a basic SIR (see p. 9 as well as S2 Fig in the supplementary material of [20]), and the same goes for the model [21] used by a renowned Swedish modeling team, which managed to fit the ICU occupancy and deaths with high accuracy during the first wave in Sweden. The latter model also takes into account various regions and interaction patterns between these, but the in-region dynamics is a simple SEIR. It is also common to add a compartment E for “Exposed”, incorporating the incubation time, (as indeed is done in the above two examples). However, as we shall show in Section 4, this has a limited effect on the overall behavior. By this, we mean that, for every set of parameter values (R0, incubation time, etc.) for SEIR, it is possible to get an almost identical curve with SIR (and vice versa), if we are allowed to alter the parameter values slightly. Since the exact value of these parameters is never known, this means that for practical purposes one may just as well rely on SIR as on SEIR, at least for understanding overall trends. For example, in Fig 3 we show an example of SEIR and SIR with R0-values that differ by 1%, and the graphs are almost identical. For example, the final size of the pandemic differs by less than 1.5%. Moreover, compartments relating to severely ill and deaths also have a marginal effect on the overall behavior, simply because only a small fraction of the infected will end up in these compartments. Based on this, we argue that to understand the general overall behavior, as we are interested in here, it suffices to study the simpler SIR model. For other attempts to predict/model SARS-CoV-2 using SIR/SEIR-type models see e.g. [22, 23].
In contrast, other types of heterogeneities such as variable activity levels and different interaction patterns between age groups, do have a notable damping effect on the model curves. For example, the age-activity stratified SEIR by Britton et. al. [10] has an incidence peak of about 35% lower than standard SIR, given analogous input parameters. This is consistent with the findings in [10], where a drop in the Herd-Immunity Threshold of around 30% is observed for the age-activity model, compared with the prediction (1) based on SIR. This will be further discussed in Section 4.2. Also, variable susceptibility has a major effect, but this has already been discussed in the introduction and is further analyzed in Section 3.
2.2 Model versus reality mismatch?
Whether or not the more advanced models accurately describe the spread of COVID-19 is hard to determine, since one may always argue that Non-Pharmaceutical Interventions (NPIs), as well as voluntary behavioral changes, have had a major impact. Without claiming to have a definite answer, the case of Sweden is interesting due to its relaxed strategy, which moreover was kept almost constant during 2020–2021. In particular, schools were kept open, people who could not work from home were encouraged to go to work, family members of infected households were obliged to work or go to school, and widespread face-mask use was never implemented, making the country ideal for comparing models with actual data. Due to insufficient testing, the time series of cases is of limited value, but measurements of seroprevalence from blood samples give valuable information since it has been established that most people who get COVID-19 also go on to develop anti-bodies [24] and that these antibodies remain for at least 9 months [25, 26]. Results published by the Swedish Public Health Agency [27] indicate that roughly 11% had had COVID-19 in the Stockholm region after the first wave of 2020, which rose to around 22% in February 2021, following the second wave. Also among hospital staff in Sweden (not using face-mask), the prevalence was around 20% [26] after the first wave, in line with observations from infected households elsewhere [28].

cistanche tubulosa-improve immune system
However, the model by Sjo¨din et. al., referred to earlier, predicts a cumulative number of infected people of around 30% after the first wave, despite assuming a 56% decrease in contacts among people of age 0–59 and a 98% reduction among those aged 60–79 (this is for scenario d which accurately fitted ICU-occupancy and death, see Fig 2b, bearing in mind that the Stockholm region has 2.4 million inhabitants). Along the same line, Britton et. al. [10] estimated that the disease could level out at around 43% total infected, in a matter of months. While the authors stress that this is not an actual prediction, it is based on realistic parameters for COVID-19. The famous Report 9 by the Imperial College [29] predicted a total number of 81% infected in a “do-nothing” scenario, based on a more advanced so-called “agent-based model” that also treats household contacts separately. According to Table 3 in the report, the number of deaths and peak ICU capacity can be reduced by 50% and 81%, respectively, in the most effective NPI scenario, which certainly goes beyond what was implemented in Sweden. However, as of February 2021, when the original Wuhan strain was declining [30], these reduced predictions overestimate the actual figure by a factor of roughly 4 (deaths) and 10 (ICU) (when directly translated to Stockholm County).

Fig 2. Graphs of susceptibles S. S–curves corresponding to the 3 graphs in Fig 1. As in Fig 1, the blue black, and pink have been normalized by division by N. The black curve thus shows the proportion of the total population susceptible to the virus. Note that when the pandemic is over, around 68% are still susceptible, in stark contrast to classical SIR which levels out at around 34%. The pink curve starts out assuming 57% have artificial sterilizing immunity, and hence its initial value is 43% (this number was chosen using the formula (8)). Note that the pink curve looks exactly like the black except for a vertical translation, illustrating the key findings of this article. The S-SIR model has three subgroups S1, S2, and S3 corresponding to p1 = 1 (labeled “super-susceptibles”), p2 = 0.1 (labeled “normal”), and p3 = 0.02 (labeled “well-protected”). Here we have normalized with the amount of people in each respective subgroup, wherefore all curves start at 1. Note how the spread in the latter two sub-groups level out as soon as it levels out in the super susceptible group.
The point here is not to criticize any particular model, and clearly, the case of Sweden alone can not prove that models are right or wrong, as mentioned initially. However, based on the massive discrepancy between the actual Swedish data and the various model outcomes described above, it is a legitimate question whether “contemporary models” have a tendency to significantly overestimate the society spread and final size of the pandemic. We find it likely that the answer is yes, and further support for this hypothesis is given in [4]. In this paper we demonstrate that variable susceptibility is one factor that contributes to this phenomenon.
2.3 Pre-immunity, super-spreaders and other inhomogeneities
How can we alter the equation systems (3) and (4) in order to dampen the curves? The simplest option is to assume that a certain fraction θ of the population has some form of sterilizing immunity so that they can not get infected by the virus. Mathematically, this is easily achieved by updating the initial conditions to

where ω = 1 − θ is the fraction of initially susceptible. However, this is not very realistic since immunity is usually not binary, i.e. either 0% or 100% (so-called sterilizing immunity). The hypothesis that some people are more susceptible than others is then far more plausible than binary immunity. In the particular case of SARS-CoV-2, the hypothesis that certain individuals had some form of pre-immunity was suggested in various publications as an explanation for the, at least according to some, unexpectedly mild initial infection waves, for instance [31]. This paper also lists a number of studies showing that some people had some a priori T-cell immunity. Since then, different articles have demonstrated various mechanisms that make certain individuals more or less susceptible to SARS-CoV-2, e.g. [15–18]. It is also well established that infectivity levels vary dramatically, as mentioned earlier (see e.g. [32]). In addition, this seems uncorrelated to how sick they become; many individuals with very high viral loads are even asymptomatic. In light of this, the most probable assumption is that the way the virus enters the human is subject to large individual variations.
To make a more realistic model for the spread of COVID-19, or any infectious disease for that matter, it is reasonable to divide the compartments S and I into a number of subcompartments S1, . . ., SJ and I1, . . ., IK where people in each compartment have a different level of susceptibility/infectivity. To see how to set up a corresponding equation system for disease spread, recall that a was the number of daily contacts by one individual. We now let pjk be the probability that such a contact leads to transmission when an individual in Sj meets one in Ik. The incidence νj coming from the group Sj then becomes

(c.f. (3)). Since we assume no correlation between infectivity and susceptibility, the total amount of new infectives ν1 + . . . + νJ is then distributed among the groups I1, . . ., IK according to their relative size. The remaining equations in (4) are easily modified to this new vector setting, we refer to Sec. 1 in the S1 File for the details. In the coming section, we analyze the behavior of this system of equations, and in Section 4 we also discuss other extensions such as SEIR and variable activity levels.
3 Main results
The main point of this research is that extensions to both SIR and SEIR of the type mentioned above yield overall curves that are only marginally different from basic SIR, given that a level of Artificial Sterilizing Immunity (ASI) is included. First of all, after setting up the details in Section 1 of the S1 File, we prove in Proposition 1.1 that the division of I into various sub-compartments has no effect whatsoever, further supporting the conclusions in [8, 9, 11]. In other terms, the existence of “super-spreaders” does not in any notable way affect the dynamics of disease spread. Removing this layer of complexity, Eq (6) simplifies to

where pj is the probability of transmission when a susceptible in group Sj encounters an “average” infectious individual. We refer to Eq (14)-(16) in the S1 File for the full system of equations, which we label S-SIR for “Susceptibility-Stratified SIR”. It is a very curious fact that the division of S into subcompartments can not, in contrast to I, mathematically be further reduced to a simpler equation system. However, and this is the key result of this paper, we can prove mathematically that the overall behavior of S-SIR (in terms of prevalence I and recovered R) differs only marginally from the basic SIR (3) and (4) upon including ASI to the initial conditions, as we did in (5). This is the essence of Theorem 2.1, which is found in Section 2 of the S1 File. Given probabilities p1, . . ., pJ, the theorem also provides formulas for suitable values of the transmission coefficient α (used to compute the incidence ν in (3)) and artificial sterilizing immunity θ (used in the initial conditions (5)), as follows:

where ω = 1 − θ and wj is the fraction of the population initially belonging to Sj; wj = Sj(0)/N. A simple illustration of these results is found in Section 1.3 in S1 File. It is important to be careful with the interpretation of θ = 1 − ω as a fraction of people who actually have sterilizing immunity, since there is, in reality, not a division of θN immune and ωN susceptible, which is why we have chosen the acronym ASI; artificial sterilizing immunity. These results are illustrated in Figs 1 and 2. Note in particular that, rather surprisingly, as soon as the most vulnerable susceptibility group (labeled super-susceptibles in Fig 2) runs out of new individuals to infect, transmission in all other groups ceases as well. This behavior is typical, see S1 Fig in the S1 File for a similar example with different values. We have observed the same phenomenon also when modeling with SEIR and also when including e.g. different age groups and variable activity levels, following [10]; models with many such layers produce output that seem practically indistinguishable from the output of SIR with ASI, i.e. (3)–(5). We leave as a numerical observation which we discuss further in Section 4. In particular, given an estimated level of ASI θ in a society, it is mathematically impossible to draw any conclusions about how much of θ is caused by inhomogeneities in age and behavior, and how much comes from variations in susceptibility. Incidentally, at the end of each paper [1–3], Kermack and McKendrick stress that a weakness in their model is that they assume uniform susceptibility, which they consider unrealistic in many cases. However, it seems that they never got around to addressing this issue, and we have not found a rigorous mathematical analysis of how to deal with this situation elsewhere in the literature either. In particular, the formula 1 − 1/R0 for the Herd-Immunity Threshold (HIT), which stems from their seminal papers, may very well be inaccurate, as suggested in [10]. In the coming section, we derive a refined version of this formula taking ASI into account.
3.1 Formulas for R0 and the herd-immunity threshold
It is easy to see that the generation time Tgeneration (introduced below (3)) coincides with the average time an infected individual remains infective. Since α is the infection rate, we conclude that R0 = generation for the standard SIR (3) and (4), assuming a fully susceptible population. However, in the presence of ASI θ, the actual infection rate is only (1 − θ)α and hence the correct formula for the R0-value becomes

The above value for R0 is the value that would be estimated by e.g. EpiEstim [12] or [13] from a real-time series generated by the model (3) and (4) with initial data (5). Mathematically, R0 is defined as the number of new infections that one infected individual gives rise to before disease-induced immunity starts to build up. (To compute this, first solve I 0 (t) = −σI(t), given I(0) = 1, recalling that σ = 1/Tgeneration, and then integrate the resulting incidence ν, as given by (3), while keeping S(t) fixed at S(0) = ωN.) Similarly, one sees that the effective R-value, denoted Re(t), in the above model is

The term “herd-immunity” carries a variety of meanings [33]. In mathematical epidemiology, given a certain model and a novel virus, the Herd-Immunity Threshold is defined as the total number of infective and recovered needed to achieve Re(t0) = 1. Since

(recall (4)), we see that this coincides with the point at which the wave of infectious naturally starts to recede. Beyond this point, any import cases will not spark new outbreaks. We denote this value by HIT.
In the SIR model, it is assumed that individuals mix homogeneously and that recovered individuals have protective antibodies (i.e. sterilizing immunity). While it is known that antibodies wane over time, at least for SARS-CoV-2, this waning happens much more slowly than the duration of an outbreak [25], and hence the latter assumption is reasonable for the discussion of the herd-immunity threshold in a shorter time frame. However, we wish to stress that the waning means that herd immunity is never a stable condition, but will fade with time, and hence the fact that herd immunity is reached during a particular wave does not prevent future waves, which may occur either due to waning antibodies or the emergence of new variants. Assume now that a SIR-model with a certain level of ASI accurately describes a given outbreak. The Herd-Immunity Threshold HIT then equals S(0)/N − S(t0)/N where t0 is the time point when the herd-immunity threshold is reached, which can be found by solving Re(t0) = 1. In other words, HIT is the difference between the fraction S(t0)/N of susceptibles at the time t0 when herd immunity is reached, and the fraction of susceptibles initially. In the SIR-model with ASI, solving Re(t0) = 1 yields the equation S(t0)/N = 1/
αTgeneration, and so we deduce

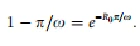
where we used the earlier formula (9) as the definition of R0. This is the formula for the herd immunity threshold presented in Eq (2) in the introduction. It implies that the classical formula (1), given an estimate of R0 from e.g. EpiEstim, is over-estimating the herd-immunity threshold. More importantly, it allows us to predict HIT, given that the ASI parameter θ = 1 − ω can be estimated from available data. That the classical formula may be misleading has been pointed out before [14], and a more recent contribution indicating that the HIT could be significantly lower than the value (1) is [10]. These works illustrate this by simply testing models that involve heterogeneities (primarily social mixing patterns, not variable susceptibility), and therefore it offers little guidance for actual estimation of HIT. Formula (2) is, to our knowledge, the first time this effect has been given a mathematical formula. To sum up, we have deduced a new formula for the herd-immunity threshold in the model SIR with ASI. Since the results in Section 3 imply that this is a good approximation to Susceptibility-stratified SIR, it follows that the above formula applies to this model as well, with ω given by (8). In Section 4 we demonstrate numerically that the same conclusion seems to be true also for other heterogeneities, and hence the formula may be a better alternative for estimating the herd-immunity threshold more generally (assuming that the value of θ can be inferred from available data). It is crucial to note that (10) applies under the assumption that immunity is achieved by natural spread. The herd-immunity threshold for vaccinating is still given by the classical formula (1) (assuming the vaccine gives sterilizing immunity), which is shown in Section 1.2 of the S1 File. This indicates that it is harder to achieve herd-immunity by vaccination, but more work is needed to establish these results in practice.
3.2 Damping and the final size of the pandemic
As mentioned earlier, several works have established that variable susceptibility has a damping effect on the prevalence. By the above results, this can now be quantified. Suppose ð~S; ~I; ~ RÞ is a solution to SIR in a homogenous and fully susceptible population (so ~Sð0Þ ¼ N), and let ~a be the corresponding transmission rate. Given a fixed value of ASI θ, it is then easy to see that ðS; I; RÞ ¼ ðo~S; o~I; o~ RÞ is a solution to (3)–(5), where ω = 1 − θ and a ¼ ~a=o. Hence the effect of ASI is really nothing but a rescaling of standard SIR curves. Note that rescaling does not change the value of R0, which due to formula (9) is given by generation ¼ ~aTgeneration in both cases. It is well known that the final size of the pandemic ~p ¼ ~ Rð1Þ=N in the usual SIR (as well as SEIR) is given by solving 1

Hence, in combination with our main result about the reduction of Susceptibility-Stratified SIR to SIR with ASI, we deduce that the above solution π is a good approximation to the final size of the pandemic for S-SIR with ω given by (8).
4 Extension to more general models
For a disease like COVID-19, with a short incubation period followed by an even shorter infectious period, there is only a marginal difference between modeling using SIR and using SEIR, and hence we believe that the key conclusions of this paper extend to this model as well. Similarly, we have found numerically that more advanced SEIR models taking variable age and activity levels into account, behave just like SIR if we incorporate ASI. We leave the formal verification of these observations as an open conjecture and content ourselves with showing some examples.
4.1 SEIR
SEIR has two key parameters apart from R0, namely Tinfectious and Tincubation, where the former is the average time that a person is infectious and the latter is the time from when a person becomes infected until he or she becomes infectious. Estimates for these vary, we here follow Britton et. al. [10] and set Tincubation = 4 and Tinfectious = 3. It then follows that the generation time equals

where the generation time is the average time it takes from a person getting infected until that person infects others (see Eq (5) in the supplementary material to [30] for a formal derivation). Note that this is consistent with the choice of Tgeneration in previous sections. The reason why SEIR and SIR give almost identical output for COVID-19 is that both are primarily determined by the values of Generation and R0. To wit, during a major outbreak, it does not matter if a person is sick for 7 days and infects R0 people during those 7 days, or if he undergoes incubation for 4 days and then infects R0 people during the remaining 3 days. As an example, consider Fig 3(a); we see a very similar behavior by choosing parameters for SIR and SEIR in accordance with the above formulas (with R0 fixed). Moreover, by allowing free parameters, SIR can be made to behave almost identically as SEIR (even without involving ASI). To support this claim, not the almost perfect overlap between the blue and black curves in Fig 3, was obtained by keeping Regeneration fixed and modifying R0 by one percent. Since the exact value for the input parameters is unknown in reality, we argue that it is irrelevant whether one uses SIR or SEIR, at least for modeling SARS-CoV-2 and viruses with similar characteristics. Therefore, the observations of this paper should extend to SEIR as well, even if we have not been able to establish this mathematically.
4.2 Heterogeneous models
Variable susceptibility is not the only type of population heterogeneity that could manifest itself as ASI on a macro level. In [10] the authors develop a heterogeneous SEIR model taking variable interaction patterns between different age groups into account, as well as the fact that people in each age group have varying amounts of contacts. We implemented their model and then sought parameters for SIR with ASI that would yield a similar output. The result is seen in Fig 3(b). Again, the difference is so fine that it would be impossible to spot in practice. Henceforth, what may appear as a certain level of population (pre-)immunity in mathematical models may, in fact, be a mix of various population heterogeneities, in which variable susceptibility is only one ingredient.

Fig 3. Approximations using SIR with ASI. (a) SEIR with R0 = 1.66 and Tinfectious + Tinfective = 7 (blue), SIR with the same R0 and Tgeneration = 7 (red), and finally SIR with a 1% lower R0, same Tgeneration (black). (b) Age-activity stratified SEIR with R0 = 1.66 and Tinfectious + Tinfective = 7 (blue); SIR using the same Tgeneration but an ASI of 25% and slightly different R0 (black).
5 Discussion
There could be many reasons why certain people are more susceptible than others to infection by a novel virus, ranging from innate and adaptive immunity to cross-reactive immunity from other known viruses as well as genetic differences. For a novel disease, sterilizing pre-immunity, i.e. individuals who are completely immune without ever having had the virus, most likely does not exist. The key point of this study is that sterilizing individual immunity is not needed in order to observe what looks like sterilizing immunity on a population level, which we have coined ASI; artificial sterilizing immunity. We show mathematically that, in order to have ASI, we only need moderate variation in susceptibility. Moreover, we demonstrate numerically that other types of population heterogeneities, such as variable social mixing patterns, also manifest themselves as ASI.

cistanche plant-increasing immune system
The findings in this paper do not limit themselves to SARS-CoV-2 but basically show that classical formulas for the herd immunity threshold and the models for the spread of infectious diseases with roots in the famous paper by Kermack and McKendrick [1] are unable to model any infectious disease subject to large variability in susceptibility, and need to be modified as described in Section 3.1. The estimation of the herd-immunity threshold HIT is crucial for efficient disease control management and planning. For example, if a society decides to make a lockdown before HIT is reached, it is almost certain that the disease will re-emerge unless NPIs are maintained indefinitely. The classical formula (1) is still very much in use, despite the fact that it is known to rely on a number of oversimplifying assumptions which may lead to an erroneous indication. We have established a new formula that we prove applies when variable susceptibility is present. Since we show that our simplified model, SIR with ASI, also seems to be a good substitute for models that involve variable social mixing patterns, it is possible that (2) applies more generally than what we are able to prove mathematically.
References
1. Kermack WO, McKendrick AG. A contribution to the mathematical theory of epidemics. Proceedings of the Royal Society of London Series A, Containing papers of a mathematical and physical character. 1927; 115(772):700–721.
2. Kermack WO, McKendrick AG. Contributions to the mathematical theory of epidemics II. The problem of endemicity. Proceedings of the Royal Society of London Series A, containing papers of a mathematical and physical character. 1932; 138(834):55–83.
3. Kermack WO, McKendrick AG. Contributions to the mathematical theory of epidemics III. Further studies of the problem of endemicity. Proceedings of the Royal Society of London Series A, Containing Papers of a Mathematical and Physical Character. 1933; 141(843):94–122.
4. Carlsson M, So¨derberg-Naucle´r C. COVID-19 modeling outcome versus reality in Sweden Viruses 2022, 14(8), MDPI https://doi.org/10.3390/v14081840 PMID: 36016462
5. Diekmann O, Heesterbeek H, Britton T. Mathematical tools for understanding infectious disease dynamics. In: Mathematical Tools for Understanding Infectious Disease Dynamics. Princeton University Press; 2012.
6. Gerasimov A, Lebedev G, Lebedev M, Semenycheva I. COVID-19 dynamics: a heterogeneous model. Frontiers in Public Health. 2021; 8:911. https://doi.org/10.3389/fpubh.2020.558368 PMID: 33585377
7. Hickson R, Roberts M. How population heterogeneity in susceptibility and infectivity influences epidemic dynamics. Journal of Theoretical Biology. 2014; 350:70–80. https://doi.org/10.1016/j.jtbi.2014.01.014 PMID: 24444766
8. Miller JC. Epidemic size and probability in populations with heterogeneous infectivity and susceptibility. Physical Review E. 2007; 76(1):010101. https://doi.org/10.1103/PhysRevE.76.010101 PMID: 17677396
9. Miller JC. A note on the derivation of epidemic final sizes. Bulletin of Mathematical Biology. 2012; 74 (9):2125–2141. https://doi.org/10.1007/s11538-012-9749-6 PMID: 22829179
10. Britton T, Ball F, Trapman P. A mathematical model reveals the influence of population heterogeneity on herd immunity to SARS-CoV-2. Science. 2020; 369(6505):846–849. https://doi.org/10.1126/ science.abc6810 PMID: 32576668
11. Rousse F, et al. The role of super-spreaders in modeling of SARS-CoV-2. Infectious Disease Modelling (2022). https://doi.org/10.1016/j.idm.2022.10.003 PMID: 36267691
12. Thompson R, Stockwin J, van Gaalen RD, Polonsky J, Kamvar Z, Demarsh P, et al. Improved inference of time-varying reproduction numbers during infectious disease outbreaks. Epidemics. 2019; 29:100356. https://doi.org/10.1016/j.epidem.2019.100356 PMID: 31624039
13. Cori A, Ferguson NM, Fraser C, Cauchemez S. A new framework and software to estimate time-varying reproduction numbers during epidemics. American journal of epidemiology. 2013; 178(9):1505–1512. https://doi.org/10.1093/aje/kwt133 PMID: 24043437
14. Fox JP, Elveback L, Scott W, Gatewood L, Ackerman E. Herd immunity: basic concept and relevance to public health immunization practices. American journal of epidemiology. 1971; 94(3):179–189. https://doi.org/10.1093/oxfordjournals.aje.a121310 PMID: 5093648
15. Dee K, Goldfarb DM, Haney J, Amat JA, Herder V, Stewart M, et al. Human rhinovirus infection blocks SARS-CoV-2 replication within the respiratory epithelium: implications for COVID-19 epidemiology. Journal of Infectious Diseases. 2021. https://doi.org/10.1093/infdis/jiab147 PMID: 33754149
16. Ng KW, Faulkner N, Cornish GH, Rosa A, Harvey R, Hussain S, et al. Preexisting and de novo humoral immunity to SARS-CoV-2 in humans. Science. 2020; 370(6522):1339–1343. https://doi.org/10.1126/ science.abe1107 PMID: 33159009
17. Zeberg H, Pa¨a¨bo S. A genomic region associated with protection against severe COVID-19 is inherited from Neandertals. Proceedings of the National Academy of Sciences. 2021; 118(9). https://doi.org/10. 1073/pans.2026309118 PMID: 33593941
18. Kundu, Rhia, et al. Cross-reactive memory T cells associate with protection against SARS-CoV-2 infection in COVID-19 contacts. Nature Communications 13.1 (2022): 1–8. https://doi.org/10.1038/s41467- 021-27674-x PMID: 35013199
19. Brauer F, Castillo-Chavez C, Feng Z. Mathematical models in Epidemiology. Springer; 2019.
20. Walker PG, Whittaker C, Watson OJ, Baguelin M, Winskill P, Hamlet A, et al. The impact of COVID-19 and strategies for mitigation and suppression in low-and middle-income countries. Science. 2020. https://doi.org/10.1126/science.abc0035 PMID: 32532802
21. Sjo¨din H, Johansson AF, Bra¨nnstro¨m Å, Farooq Z, Kriit HK, Wilder-Smith A, et al. COVID-19 healthcare demand and mortality in Sweden in response to non-pharmaceutical mitigation and suppression scenarios. International journal of epidemiology. 2020. https://doi.org/10.1093/ije/dyaa121 PMID: 32954400
22. Hassan Md Nazmul, et al. Mathematical Modeling and Covid-19 Forecast in Texas, USA: a prediction model analysis and the probability of disease outbreak. Disaster medicine and public health preparedness (2021): 1–12. https://doi.org/10.1017/dmp.2021.151 PMID: 34006346
23. Mahmud Md Shahriar, et al. Vaccine efficacy and sars-cov-2 control in California and us during the session 2020-2026: A modeling study. Infectious Disease Modelling 7.1 (2022): 62–81. https://doi.org/10. 1016/j.idm.2021.11.002 PMID: 34869959
24. Gudbjartsson DF, Norddahl GL, Melsted P, Gunnarsdottir K, Holm H, Eythorsson E, et al. Humoral immune response to SARS-CoV-2 in Iceland. New England Journal of Medicine. 2020; 383(18):1724– 1734. https://doi.org/10.1056/NEJMoa2026116 PMID: 32871063
25. Dan JM, Mateus J, Kato Y, Hastie KM, Yu ED, Faliti CE, et al. Immunological memory to SARS-CoV-2 assessed for up to 8 months after infection. Science. 2021. https://doi.org/10.1126/science.abf4063 PMID: 33408181
26. Bred immunitet efter 9 månader. Danderyds hospital press-release. Webbadress: www.ds.se/jobbahos-oss/mot-oss/bred-immunitet-efter-nio-manader/
27. Folkha¨lsmyndigheten. Påvisning av antikroppar efter genomgången COVID-19 i blodprov från o¨ppenvården.
28. Madewell ZJ, Yang Y, Longini IM, Halloran ME, Dean NE. Household transmission of SARS-CoV-2: a systematic review and meta-analysis. JAMA network open. 2020; 3(12):e2031756–e2031756. https:// doi.org/10.1001/jamanetworkopen.2020.31756 PMID: 33315116
29. Ferguson N, Laydon D, Nedjati-Gilani G, Imai N, Ainslie K, Baguelin M, et al. Report 9: Impact of nonpharmaceutical interventions (NPIs) to reduce COVID-19 mortality and healthcare demand. Imperial College London. 2020; 10(77482):491–497.
30. Carlsson M, Hatem G, So¨derberg-Naucle´r C. Mathematical modeling suggests pre-existing immunity to SARS-CoV-2. medRxiv. 2021.
31. Doshi P. Covid-19: Do many people have pre-existing immunity? Bmj. 2020; 370. PMID: 32943427
32. Jones TC, Biele G, Mu¨hlemann B, Veith T, Schneider J, Beheim-Schwarzbach J, et al. Estimating infectiousness throughout SARS-CoV-2 infection course. Science. 2021. https://doi.org/10.1126/science. abi5273 PMID: 34035154
33. Fine P, Eames K, Heymann DL. “Herd immunity”: a rough guide. Clinical infectious diseases. 2011; 52 (7):911–916. https://doi.org/10.1093/cid/cir007 PMID: 21427399






