Interactions Between Polyphenolic Antioxidants Quercetin And Naringenin Dictate The Distinctive Redox‑related Chemical And Biological Behaviour Of Their Mixtures Part 1
Mar 11, 2022
Please contact oscar.xiao@wecistanche.com for more information
Research carried out over the past two decades on the molecular basis of non-infectious chronic diseases such as atherosclerosis, hypertension, diabetes, and especially cancer catching major interest has revealed that all these diseases share a common risk factor, which is the disruption of redox homeostasis often referred to as oxidative stress12. It arises as a result of an increased endogenous level of reactive oxygen species(ROS)due to the body's antioxidant barrier failing and is believed to promote the development of all these illnesses.3. Thus, the assumption followed that exogenous factors capable of neutralizing ROS, e.g. plant antioxidants, could counteract or slow down the development of chronic diseases and support their treatment. Verification of this hypothesis initiated detailed studies on antioxidants present in foodstuffs that might exhibit preventive potential4. Indeed, several studies summarized in the meta-analysis comparing food consumption and diet-related chronic diseases revealed decreased risk in the case of diets rich in fruits and vegetables, whole-grain cereals as well as beverages such as wine, coffee, and tea, hence products rich in antioxidant phytochemicals. Not surprisingly, it was presumed that these substances once isolated from their natural sources, purified, and then consumed in the form of dietary supplements containing higher doses than those achievable in the diet could become powerful chemopreventive agents. This assumption was confirmed by a large body of evidence coming from studies exploiting various experimental in vitro and in vivo models of chronic diseases, including cancer.7.Disappointingly, it has recently been shown in human studies that antioxidant supplements do not exhibit such promising activities. For instance, two meta-analyses of human cohort and case-control investigations with vitamin E8 or micronutrient preparations" concluded that low levels of antioxidants had no effect, while high doses might increase both incidence and mortality of cancer and cardiovascular diseases. However, when supplements were based on real plants, such as a specific blend of concentrated polyphenol-rich foods(pomegranate, green tea, broccoli, and turmeric), a significant protective effect in men with prostate cancer was observed1.

Please click here to know more
The promising effects of whole foods in contrast to isolated compounds are in line with the food synergy concept, which is defined as an additive or more than the additive influence of the combination of different food ingredients on human health. Our earlier study verified this concept by comparing the bioactivities of real foods with their isolated major antioxidant. This showed that the biological effects of extracts of berry fruits vastly differ from those exhibited by anthocyanin cyanidin-3-O-glucoside. Some other reports also indicated the importance of the interactions between different bioactive compounds and food matrix components that turned out to be cooperating factors, which determine the final bioactivity of foods3-1. Our recent mechanistic investigations involving step-wise reconstitution of the cocoa composition of bioactive also supported the idea of food synergy but demonstrated that the biological effects of samples with complex compositions are not just a combination of the activities displayed by individual components'3. All these observations suggested that when considering redox-related bioactivities of isolated antioxidants versus their mixtures, the interactions between components must be taken into account. The growing complexity of a mixture of phytochemicals seemed to Create a new redox-active substance rather than enrich the mixture with new activities characteristic of the compound added, which is inferred by the food synergy concept.

Cistanche can improve the immunity
In the current research, we simplified the experimental system by limiting it to only two core structures in order to delve into details of their interactions in the context of chemical structure, redox reactivity, and redox-related bioactivities, so to enable a better understanding and prediction of the chemopreventive potential of antioxidants.'The phytochemicals used for this purpose were common antioxidants present in various herbs, vegetables, and fruits, especially in citrus fruits, namely: flavonols represented by quercetin (O) and its rhamno-side-rutin (R) and flavanones by naringenin (N-) and its neohesperidoside naringin (N+)as well as two mixtures of these compounds(QN-, RN+). The chemical composition of the study embraced determinations giving some insight into thermodynamics and kinetics of oxidative processes, i.e.DPPH test, potentiometric titration, and differential pulse voltammetry (DPV). The biological tests examined the impact of the studied samples on cell growth (MTT test), cellular antioxidant activity (CAA assay), genotoxicity (comet assay), global DNA methylation level (epigenetic version of comet assay), and the expression of 84 redox-related genes (real-time PCR array-based technologies). The biological experiments were carried out using the recommended for nutritional studies colon adenocarcinoma HT29 cell line as a model of the intestinal epithelium that may be exposed to relatively high concentrations of ingested antioxidants.
Results
Our earlier investigations that compared redox-related properties of cocoa powder and its main constituents pointed to the importance of interactions between polyphenolic components of the mixture on overall antioxidant activity. In the current research, we simplified the experimental system to examine such interactions in more detail for a pair of flavonoids that are common food components. Two flavonoids were chosen, both in the form of aglycones and glycosides. The flavonols were represented by quercetin (Q)and its rhamnoside-rutin (R) and flavanones by naringenin(N-) and its neohesperidoside naringin (N+). These polyphenols differ in the number and location of redox-active hydroxyl groups as well as the ability to form intramolecular H-bonds,i.e., three structural features that may interfere with reducing the properties of antioxidant compounds. As shown in Fig. 1, the intermediate semiquinone radicals formed in the first step of oxidation of catechol moiety in ring B

of Q or R can be stabilized in two waysi8,19. The first way is the conjugation of both the core structure over the B and C rings and the second-H-bond formation with vicinal OH group or substituents in C ring,Especially in R. the presence of hydroxyl groups in sugar substituent in position 3 of ring C may further enhance this stabilization effect due to more possibilities of formation of H-bonds(directly or via water molecule), In contrast, the intermediate phenoxyl radical in N+or N-is stabilized neither by conjugated double bonds involving also ring C nor H-bonding with neighboring substituents. Moreover, in N+, the sugar moiety is attached to ring A and thus is too far to form H-bond with the radical in ring B.One can expect these structural features to influence the redox activity of studied flavonoids.

Antioxidant activity by chemical tests.
The determination of reducing properties for the studied polyphenols and their mixtures was performed by two chemical assays at 37 ℃C to match the cellular conditions of redox processes. The first method was the commonly used batch spectrophotometric DPPH test; the results for individual flavonoids and their mixtures are presented in Fig. 2A. They are expressed as stoichiometry values n where the number 10 refers to the duration of the reaction—10 min. By introducing the time parameter into measurements, a kinetic aspect became incorporated into antioxidant activity assessment as has been described earlier13.In these determinations, both aglycones displayed stronger reducing properties than corresponding glycosides as had also been formerly shown with this test2021, while flavonols were more active than flavanones. O was the most efficient compound in scavenging DPPHradical and was followed by R. Despite negligible reactivity towards DPPH, both flavanones, including N that by itself exhibited no redox properties within the 10 min period of the reaction, significantly increased the total antioxidant activity of the mixtures, in the case of both aglycones ON-and glycosides RN+.
The second method involved potentiometric titration (PT) that allows measurement of standard reduction potential (E), and thus evaluated the thermodynamic ability of pure compounds to gain electrons. The deter-mined values of Confirmed that Q and R are strong reducing compounds(Fig. 2B). However, in PT, R accepted donor electrons more willingly than Q. The determination of E for N- and N+ was not possible due to very slow electron transfer during the oxidation process (slower for N+). PT measures the difference in potential between the reference electrode and the measuring electrode after adding each portion of the titrant. The steady potential means that the quotient of reaction (Q) between titrant and analyte is stable (Q= constant). If the rate of charge transfer during a reaction is low (low currents in voltammetry), then it takes a long time to stabilize the Q in PT. Consequently, for very slow reactions, the potentiometric titration curve is difficult to obtain and thus, the found value of E" is less reliable.
AntioXidant actiVity by differential pulse voltammetry,
The chemical tests used suggested that elucidation of antioxidant action of polyphenols must take into consideration kinetic aspects, where the stability of intermediate radicals could play a role. As illustrated in Fig. l, semiquinone radicals formed upon the first stage of flavanol oxidation are much better stabilized than phenoxyl radicals arising upon flavanone oxidation. This relation is illustrated in Fig. 1 and may affect the rate of redox processes. Therefore, the reduction-oxidation properties of studied pure antioxidants and their mixtures were further analyzed with the aid of differential pulse voltammetry (DPV). Since this technique enables monitoring of both thermodynamic and kinetic aspects of oxidation reactions, both are finally combined in a parameter called antioxidant power (AOP)15.
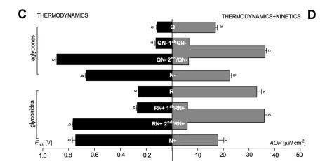
The observations made with DPV measurements(Fig.2B-F) contradicted those acquired with the DPPH test (Fig.2A). Surprisingly, DPV revealed that Q described in the literature as an excellent reductant, when considering thermodynamic aspects only (anodic peak potential, E。), proved the weakest antioxidant (Fig.2B, C). Thermodynamically, R was a slightly stronger antioxidant. Interestingly, N-and N+ are considered in the literature as weak antioxidants, exhibited thermodynamically the highest values of E meaning that they were very strong reducing agents. For both flavonoid classes, glycoside moiety increased the antioxidant activity of aglycones. However, kinetics-related parameters(Fig.2E, F), ie., anodic current (I,。) and charge density (Q), revealed that oxidation of N+ is the slower process compared to oxidation of Q and R. Similarly, anodic current (I)was lower for N-than for Qand R, but the charge transfer for this compound reached the highest value.
In the case of mixtures, two anodic peaks(1st and 2nd) on voltammetric curves were detected as could be expected for the two-component mixture. The determined values of anodic peak potentials(E。) indicated that 1st peak observed reflects oxidation of flavonols, while 2"d peak the oxidation of flavanones(Supplementary Materials-Fig. S1). In most cases, the presence of the other component in a mixture influenced the thermo-dynamics and/or kinetics of the redox process compared to oxidation of the pure compounds. For example, for QN-, the value of E。, for 1st peak of oxidation was equal to the anodic peak potential of Q oxidation. However, the 2" anodic peak corresponding to N-oxidation and the potential of this transition was higher than the anodic potential of pure N-(Fig.2C). The opposite situation was observed for the kinetics of this reaction. The I, and Q of 1s anodic peak of QN were close to kinetic parameters of pure components' oxidation (Fig. 2E, F), while the charge exchanged during the 2n step of ON-oxidation was much lower than that for N-oxidation (Fig.2F). These combined thermodynamic and kinetic effects resulted in the enhancement of the AOP(Fig. 2D)of this mixture, which is in accord with the results of the DPPH test.

Cytotoxicity assessment.
The impact of the studied flavonoid aglycones (Q, N-), glycosides(R, N+), and their mixtures(QN-, RN+)on intestinal cell growth was assessed by the MTT test. The human colon adenocarcinoma HT29 cell line was chosen as a model of alimentary tract epithelium, i.e. the tissue in direct contact with ingested food ingredients such as polyphenols. The cells were treated with individual flavonoids and their mixtures at physiological concentrations potentially occurring in the blood (0.01-1 uM)22-2 or concentrations reachable in the alimentary tract (10-100 uM) after food ingestion25-27. The dose-response curves for 6,24 and 72 h treatments are presented in Fig.3.
Individual compounds did not significantly influence the cell growth at any of the investigated concentrations, for neither short nor prolonged treatments. The exception was the highest concentration of N-that after 72 h inhibited cell growth down to 75% compared to control. In contrast, the investigated mixtures (QN-, RN+)significantly stimulated cell growth in a concentration-dependent manner for all exposure times tested. This effect was observed at low concentrations(0.01-1 uM)being reachable in the bloodstream and was even more potent at higher concentrations(10-100 uM)to which epithelial cells of the alimentary tract may be exposed. Only in the case of the highest concentration of QN-, after 72 h treatment, the stimulation ceased, probably due to inhibitory effects observed under such conditions for N-. Cellular antioxidant activity. The efficiency of purified flavonoids and their mixtures in supporting the endogenous antioxidant barrier of HT29 cells was verified with the aid of CAA assay, This method relies on the ability of a sample containing redox-active compounds to inhibit or promote the oxidation of the probe absorbed by cells to its fluorescent form. The attenuation of the probe oxidation, observed as the quenching of fluorescence,is a measure of the reducing capacity of antioxidants in the cells (positive CAA values), while the increase of probe oxidation denotes their pro-oxidative activity (negative CAA values)28. The determinations were carried out for aglycones and glycosides at concentrations reflecting both physiological—endogenous—and food-derived—exogenous—gut exposures. The incubation with studied flavonoids was carried out for a standard recommended period of 1 h18 for aglycones and glycosides. The prolonged treatments (3 and 6 h) aimed at monitoring the kinetics of redox response in the cellular model applied were used only in the case of aglycones, because of their more prominent impact on cellular antioxidant activity.
The investigated flavanones and flavonols differed in their impact on the redox status of HT29 cells. In the case of individual aglycones, the defined concentration-dependent responses were observed after 1 h exposure. However, flavonol—Q antioxidant activity increased with concentration applied, while in the case of flavanone—N-the gradual enhancement of the pro-oxidative effect was observed (Fig. 4A). The dose-dependency of individual glycosides was less evident; only R at its highest concentration convincingly increased the cellular antioxidant activity(Fig. 4A). Interestingly, both mixtures displayed enhanced antioxidant activity, apparently not influenced by the pro-oxidative effect seen for individual compounds.
Figure 4B presents the kinetics of changes of CAA values determined after l,3 and6h treatment of HT29 cells with aglycones. For the lowest concentration(1 μM), matching physiological exposures, the time dependence was not observed either for individual aglycones or their mixture. However, the influences of higher concentration on CAA values were clearly time-dependent. The prolonged exposures decreased both the pro-oxidative effect of N- as well as the antioxidant activity of Q and QN-.



The investigated aglycones displayed different nutrigenomic activity, additionally modified by the concentration applied to cells.
Flavanone N-at l μM significantly decreased expression of CCL5, CYGB, GTF2I, MT3 (p<0.05) as well as showing some tendency to down-regulate ALOX12 and UCP2 transcription (0.05<p<0.09). The increased expression caused by N-was observed for the NCF2 gene only (p<0.05). These genes, though in one or another way, related to cellular redox status, do not fall into any specific common pathway nor are involved in any coordinated process. The protein encoded by CCL5 belongs to a group of inflammation-relevant genes, while the cytoglobin gene(CYGB)functions as a tumor suppressor gene2930. GTF2I protein acts as a general transcription factor and is involved in the coordination of cell growth and division31. So, the other gene down-regulated by the N-at l uM gene—MT3—may cooperate with it, because although it plays a role in zinc and copper homeostasis, it is also known as growth inhibition factor2. The enzyme encoded by ALOX12 acts on different polyunsaturated fatty acid substrates to generate bioactive lipid mediators3. The protein coded by UCP2 has been described as a mitochondrial scavenger of ROS. The only up-regulated gene by N-at 1 uM was NCF2 which encodes a cytosolic protein required for the activation of the NADPH oxidase system responsible for superoxide production35.
This flavanone applied to HT29 cells at 10 uM influenced the expression of 5 genes, which were also down-regulated by its lower dose, namely: CCL5, CYGB.MT3(p<0.05)as well as GTF2I and UCP2(0.05<p<0.09).Additionally,in contrast to lower dose, N-at 10 uM showed tendency to decrease expression of SOD3(0.05<p<0.09). The latter gene codes for a protein with superoxide dismutase activity,i.e., the antioxidant enzyme catalyzing the

dismutation of superoxide radicals to hydrogen peroxide and oxygen6. The slight increase in expression caused by N-at 10uM was only observed for the VIMP gene (0.05<p<0.09)that is involved in the degradation process of misfolded endoplasmic reticulum(ER)luminal proteins37.
This article is extracted from www.nature.com/scientificreports






