Effects Of 2-aminoindan-2-phosphonic Acid Treatment On The Accumulation Of Salidroside And Four Phenylethanoid Glycosides in Suspension Cell Culture Of Cistanche Deserticola
Mar 16, 2022
for more information:ali.ma@wecistanche.com
Gao Sheng Hu, et al
Abstract
2-Aminoindan-2-phosphonic acid (AIP), a specific competitive phenylalanine ammonia-lyase (PAL) inhibitor was applied to a suspension cell culture of Cistanche deserticola. The effects of AIP treatment on cell growth, PAL activity, contents, and yields of total phenolic compound, salidroside, and four Phenylethanoid glycosides(PheGs) are investigated. The results demonstrated that 0.5 and 2.0 lM AIP treatments had similar effects on the measurements investigated in this study. AIP treatment resulted in significant decreases in PAL activity, total phenolic compounds content, and (phenylethanoid glycosides) PheGs content. Linear regression analysis showed that PAL activity had a high correlation coefficient with the total phenolic compound content and the four (phenylethanoid glycosides) PheGs contents. Total PAL activity time area under the curve (AUC) had a high correlation coefficient with the total phenolic compound yield and the yields of five tested compounds in untreated cell samples. In AIP-treated cells, total PAL activity-time AUC retained a high correlation with the total phenolic compound yield and the yields of three tested compounds, echinacoside, acteoside, and tubuloside A, but not salidroside and cistanoside A. The difference could be caused by the different biosynthetic origins of each of the tested compounds. These results demonstrate the important role of PAL in the biosynthesis of (phenylethanoid glycosides) PheGs in the suspension cell culture ofCistanche deserticola.
Keywords
Cistanche deserticola, Suspension cell culture, Phenylethanoid glycosides, 2-Aminoindan-2- phosphonic acid (AIP), PAL activity, Biosynthesis, Salidroside

Click to Cistanche extract benefits and Cistanche products
Introduction
Cistanche deserticola Y. C. Ma, a traditional Chinese medicinal herb, has been used for centuries in China for its nourishing effects. It is a perennial purpose and a parasitic medicinal herb belonging to the Cistanche genus in the Orobanchaceae family. The plant grows in desert areas of West China and is a parasite on the roots of Haloxylos ammodendrun.
The chemical constituent isolation and structural elucidation studies of Cistanche deserticola began in the 1980s (Kobayashi et al. 1984a, b, 1985, 1986; Karasawa et al. 1986; Xiong et al. 1996). The demonstration of phenylethanoid glycosides (PheGs) as effective compounds in protecting neuron cells from damage (Sheng et al. 2002; Pu et al. 2003; Geng et al. 2004; Tian and Pu. 2005) caused by chemicals and aging, drove the increase in market demand on commercially available health foods and drugs. Due to overharvesting, corruption of habitat, and complex parasitism, the natural resources of Cistanche deserticola are on the edge of extinction and, in 2003, was listed in The Convention on International Trade in Endangered Species of Wild Fauna and Flora (CITES).
To solve the problems related to limited resources, cell and tissue cultures of this medicinal plant were carried out in China. These studies investigated the effects of various factors including the osmotic stress (Liu and Cheng 2008), precursor feeding (Ouyang et al. 2005; Liu et al. 2007), the light of varying wavelength (Ouyang et al. 2003a), fungal elicitors (Lu and Mei 2003; Cheng et al. 2005, 2006), and abiotic elicitors (Ouyang et al. 2003b) on cell growth and the accumulation of (phenylethanoid glycosides) PheGs. These studies provided valuable information for the large-scale culture of Cistanche deserticola. How these compounds are biosynthesized in Cistanche cells remains unclear and little genetic information has been reported.
It has been shown in isotope-labeled precursor-feeding experiments (Ellis 1983; Saimaru and Orihara 2010) that the caffeoyl group of acteoside was derived from L-phenylalanine, while the 3, 4-dihydroxyl phenyl ethanol was derived from L-tyrosine. A hypothetic biosynthetic pathway of (phenylethanoid glycosides) PheGs in Cistanche deserticola was proposed (Supplementary Fig. 1) based on the current knowledge of related biosynthetic pathways. The PAL enzyme catalyzed the first step from phenylalanine to the caffeoyl group. PAL was indirectly proven to be an important enzyme in the biosynthesis of (phenylethanoid glycosides) PheGs by elicitor treatment research in Cistanche deserticola (Lu and Mei 2003; Cheng et al. 2005, 2006; Ouyang et al. 2003b), in which the total (phenylethanoid glycosides) PheGs accumulation was improved along with increased PAL activity. Elicitor treatment will not only improve the expression level of PAL but will also improve the levels of other enzymes involved in the biosynthesis pathway of secondary metabolites. Due to the difficulties in the establishment of the transformation system of Cistanche deserticola, direct evidence of PAL overexpression on (phenylethanoid glycosides) PheG accumulation has not been reported. In other plants producing (phenylethanoid glycosides) PheGs, such as Echinacea genus plants, the experiment has also not been conducted. Here we report the effects of the PAL specific inhibitor 2-aminoindan-2-phosphonic acid treatment on the cell growth, total phenolic compounds, PAL activity, and accumulation of (phenylethanoid glycosides) PheGs in suspension cell culture of Cistanche deserticola, in an effort to evaluate the functional role of PAL in the biosynthesis of PheGs. To study the biosynthetic pathway of (phenylethanoid glycosides) PheGs on a molecular level, we have cloned and characterized the CdPAL1 gene from the callus of Cistanche deserticola (Hu et al. 2010). We are trying to establish the transformation system of Echinacea plants mediated by Agrobacterium rhizogenes and introduce the gene into Echinacea hairy root to study the direct effects of overexpression of this gene on the accumulation of PheGs. Besides, we have also cloned several genes involved in the biosynthetic pathway of PheGs fromCistanche deserticola callus using cDNA library screening and RACE PCR, such as Tyrosinase, Cinnamyl alcohol dehydrogenase, Tyrosine decarboxylase, Cinnamate-3- hydroxylase, Coumarate-4-hydroxylase; UDP-glucosyl transferase, and Hydroxylcinnamyl transferase. We will do further experiments including molecular characterization, expression analysis, overexpression lines of Echinacea hairy root to elucidate the biosynthetic pathway of PheGs on a molecular level.

Materials and methods
Suspension cell culture of C. deserticola
A suspension cell culture of Cistanche deserticola was maintained in B5 (Gamborg et al. 1968) liquid media supplemented with 30 g sucrose-l -1, 0.5 mg 6-BA-l -1, and 2.0 mg NAAl -1 at 25 ± 1℃ with shaking (180 rpm). The light period was 16 (L)/8 (D) and the suspension cell culture was sub-cultured every 28 days. During subculture, the suspension cell culture was first filtered in a clean bench using autoclaved Mira cloth and then the fresh cell pellet was weighed and inoculated into new media at a concentration of 2 g FW-50 ml-1.
Growth investigation
Cell growth was mainly measured by cell fresh weight (FW) and dry weight (DW). Cell cultures were sampled on the 2nd, 4th, 8th, 12th, 17th, 22nd, and 28th day and filtered with vacuum filtration using Mira cloth until no more liquid dropped from the funnel. The cell pellet was weighed and recorded as FW. Half of the collected fresh cells were stored at -78C for an activity assay and the other half was dried at 60C for 24 h until a constant weight was observed. The dried cells were cooled in a desiccator to room temperature and then weighed. This weight was multiplied by two and recorded as DW. The dried cell samples were ground into a fine powder (80 mesh sieve through 100%), placed in brown tubes, sealed, and stored at -20℃ for future experiments.
Extraction and content determination of total phenolic compounds
Thirty milligrams of dried cell powder of each sample were extracted using 400 ll of 80% methanol at 37C for 1 h with a shaking speed of 200 rpm followed by centrifugation. The supernatant was transferred to a new tube and the debris was extracted twice more using the same procedure. The supernatant was combined, filtered, and utilized for the determination of total phenolic compound content and HPLC analysis (Hu 2007).
The contents of total phenolic compounds were analyzed using a modified Folin-Ciocalteu method (Singleton et al. 1999). The Folin-Ciocalteu reagent was diluted with 1 volume of distilled water. The extract obtained was diluted ten times and 10 ll of the extract was used in each content assay. Ten microliters of each diluted extract were added to a 200 ll freshly prepared 2% sodium carbonate solution. The mixture was mixed vigorously and followed by brief centrifugation. The mixture was incubated at RT for 5 min and subsequently mixed with 10 ll diluted Folin reagent. The final mixture was vigorously mixed and incubated at RT for 30 min. OD750 was measured in UV/Vis spectrophotometer and recorded for the calculation of total phenolic compounds. The chlorogenic acid serial solution was used as the standard compound and a standard curve between the amount of chlorogenic acid and OD750 was prepared to calculate the representative content of total phenolic compounds as chlorogenic acid. Using the total phenolic compound content and growth data of samples, we calculated the yield of total phenolic compound in each sample and expressed how many milligrams of the total phenolic compound is produced in one litter (mg L-1).

AIP treatment
AIP stock solution was prepared using distilled water to reach a final concentration of 4 mM. A suitable volume of stock solution was added to 50 ml of the media to obtain final concentrations of 0.5 and 2.0 lM. Media were autoclaved and inoculated with freshly collected cells. Triplicate flasks were inoculated with cells collected from the same bottle and were used in all groups to minimize the systematic error.
HPLC analysis
Extracts obtained in 'Extraction and content determination of total phenolic compounds' were filtered through a 0.5 lm filter before HPLC analysis. HPLC analysis was carried out using a Hitachi HPLC (L-2130 pump, L-2420 UV/Vis detector and L-2200 autosampler) with a C18 column (150 9 4.6 mm, 5 lm, Waters), mobile phase (MeOH/H2O gradient elution), and a detection wavelength of 330 and 220 nm for detection of (phenylethanoid glycosides) PheGs and salidroside, respectively. Ten microliters of each standard compound dilutions and sample extract were injected into the column. Content determinations of echinacoside, acteoside, cistanoside A, tubuloside A, and salidroside were carried out using the standard curve for each reference compound. Salidroside and echinacoside were purchased from the National Institute for the Control of Pharmaceutical and Biological Products (Beijing, China) and Dr. Nobuhisa Ezaki of the Yomeishu Seizo Company provided the other reference compounds. The purity of all the standard compounds is higher than 95%. Structural information for the five tested compounds is listed in Table 1.

PAL activity assay
Crude protein was extracted from samples stored at -78℃. A 0.1 g sample was ground into a fine powder with liquid nitrogen and 600 ll of protein extraction buffer was added to the tube containing the cell powder followed by vigorous vortexing for 5 min at 4℃. The mixture was centrifuged at 13,000 rpm at 4℃ for 10 min. The supernatant was defined as a crude protein extract. Ten microliters of the crude protein extract were added to a Tris–HCl (pH 8.5) buffer containing 10 ll of 5 mM phenylalanine on ice. The mixture was incubated at 55℃ for 20 min and quenched by the addition of 50 ll of 2 M HCl. OD270 changes were recorded to calculate the production of cinnamic acid based on the standard curve of trans-cinnamic acid. The total PAL activity-time area under the curve (AUC) was calculated based on the cell growth data and the PAL activity assay data.
Statistical analysis
All statistical analysis was carried out using Microsoft excel software including standard error and linear regression analysis
Results and discussion
Effects of AIP treatment on cell growth of Cistanche deserticola suspension cell culture
As shown in Fig. 1, the AIP treatment at both concentrations had no inhibition effects on cell growth as indicated by FW and DW.

Effects of AIP treatment on PAL activity
As shown in Fig. 2, treatment of AIP at both concentrations did not result in a decrease in PAL activity on the 2nd day, but PAL activity decreased significantly on days 4 through the 28th. On those days, the PAL activity of the 0.5 lM AIP-treated cells was 80.3, 73.2, 82.7, 68.5, 62.3, and 42.4% of the untreated cells, and under 2 lM AIP.

Effects of AIP treatment on total phenolic compounds accumulation
Figure 3a showed that AIP treatment at both concentrations markedly affected the biosynthesis of total phenolic compounds. Similar to the PAL activity, the total phenolic compound content did not decrease on the 2nd day but started to decline on the 4th day. The inhibitory effects of AIP at 0.5 and 2 lM on total phenolic compound contents were very similar. The content inhibition rate ranged from 91.1 to 50.1% and from 89.9 to 41.5% of the untreated cells in 0.5 and 2 lM AIP-treated cells, respectively. Based on the content determination of total phenolic compounds and cell growth data, the yields of total phenolic compounds were calculated as shown in Fig. 3b. Significant changes in total phenolic compound yield at different growth stages were evident in 0.5 and 2.0 lM AIP-treated cells compared with untreated cells. As shown in Figs. 2 and 3, the inhibition of PAL activity and the decrease in total phenolic compounds and yields had similar trends.

A linear regression analysis between PAL activity and total phenolic compounds was conducted and the results suggested that in the AIP-treated cells, the PAL activity was closely related to the total phenolic compound content (Fig. 4a). The yield of total phenolic compounds in the sample at each time step is the result of accumulation; therefore, a linear regression analysis was conducted between total PAL activity-time AUC and total phenolic compound yield. Figure 2 shows that the PAL activity was different at each time point; thus, in order to calculate the total PAL activity-time AUC, we here assume the PAL activity between two-time points changed linearly. As shown in Fig. 4b, the AUC correlated well with the total phenolic compound yield and exhibited correlation coefficients (R2 ) of 0.9788, 0.8157, and 0.6981 for the untreated, 0.5 lM AIP and 2.0 lM AIP-treated cells, respectively. Based on these results, we concluded that inhibition of PAL activity caused by AIP treatment resulted in the decrease of total phenolic compounds biosynthesis and accumulation in Cistanche deserticola suspension cell culture.

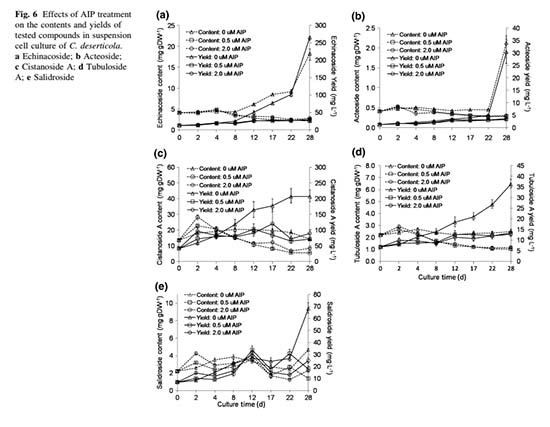
Effects of AIP treatment on the accumulation of salidroside and four (phenylethanoid glycosides) PheGs
To study the detailed effects of AIP on the biosynthesis and accumulation of (phenylethanoid glycosides) PheGs, extracts of different samples were applied to HPLC and the representative chromatogram of each sample is shown in Fig. 5. The standard formula of five tested compounds and their retention times are listed in Table 2. As Fig. 5a showed, salidroside and the other four PheGs are baselines separated under our analytical condition. We can see from Fig. 5b–d, that the salidroside content did not change significantly and, in Fig. 5f, g, that the area of peaks detected at 330 nm significantly and continuously decreased in 0.5 and 2 lM AIP-treated cell extracts compared with untreated cells (Fig. 5e).


The content and yield changes of each tested compound are demonstrated in Fig. 6 and Table 3. According to our results, echinacoside and cistanoside A are the two major compounds and their contents are about ten times higher than the other three compounds. However, there were significant differences in the content of each compound in response to the AIP treatment. In the case of echinacoside, the content in untreated cells started to increase continuously from the 8th day to the 28th day (Fig. 5a), which was quite different from the pattern of cistanoside A, which reached its highest content on the 8th day and slightly decreased continuously until the 28th day. In AIP-treated cells, the content of the two compounds decreased significantly in the same pattern. The content of acteoside and tubuloside A was much lower than echinacoside, while the changing trend was similar to echinacoside. There is also a dramatic decrease in the yield of each tested compound for the 0.5 and 2 lM AIP-treated cells compared with the untreated cells. According to Fig. 6 and Table 3, the yield of echinacoside, cistanoside, acteoside, tubuloside A, and salidroside dropped to approximately 10, 10, 34, 36, and 25% of untreated cells, respectively, on the 28th day in AIP-treated cells at both concentrations.


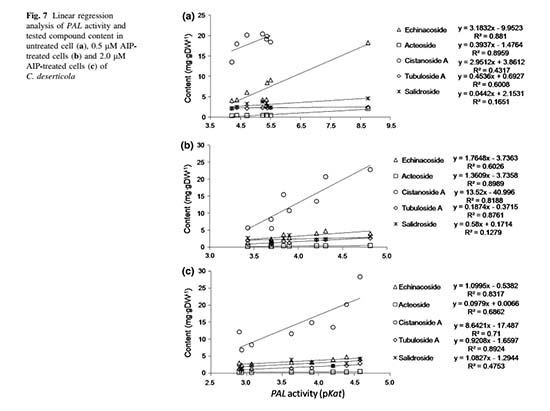
Linear regression analysis between PAL activity and (phenylethanoid glycosides) PheGs accumulation
To determine how the PAL activity and the content of each tested compound were correlated in each group, a linear regression analysis was performed (Fig. 7). The content of salidroside in all groups had the lowest correlation coefficient (R2 ), ranging from 0.1651 in the untreated cell to 0.4753 in the 2.0 lM AIP-treated cells. Except for salidroside, the other tested compounds had much higher correlation coefficients and their R2 is listed in Fig. 7. Our results demonstrated that PAL activity is highly correlated with the content of echinacoside, acteoside, cistanoside A and tubuloside A in all groups.

We also conducted a linear regression analysis between total PAL activity-time AUC and each tested compound yield in the collected samples (Fig. 8). The regression analysis indicated that the yield of each compound correlated with AUC differently. In the untreated cells, all five compounds have high correlation coefficients with total PAL activity-time AUC. However, in the AIP-treated cells, only echinacoside, acteoside, and tubuloside A retained high correlation coefficients and the other two compounds, cistanoside A and salidroside had very low correlation coefficients with total PAL activity-time AUC. These results suggested that the PAL activity had very different effects on the accumulation of these compounds. According to Table 1, the compounds echinacoside, acteoside, and tubuloside A have a caffeoyl group and a 3, 4-dihydroxyl phenyl ethanol group; cistanoside A has a feruloyl group and a 3-methoxy, 4-hydroxyl phenyl ethanol group; and salidroside has a hydroxyl phenyl ethanol group. The reason why these compounds have different correlation coefficients with total PAL activity-time AUC in AIP-treated cells might be related to their different biosynthetic origins.

As shown in Fig. 5, after AIP treatment, most of the peaks decreased continuously and significantly and five were identified in this study. Among these tested compounds, only salidroside had no caffeoyl group. Prior to this study, it was thought that the content of important intermediates before caffeoyl group integration, such as salidroside, would be increased because of PAL activity inhibition, but we did not find significantly increased peaks in the AIP-treated cells. This result might occur because the (phenylethanoid glycosides) PheGs are secondary metabolites in C. deseriticola and the production of these (phenylethanoid glycosides) PheGs is regulated by the environmental stress of the cells. In our experiments, the AIP-treated cells are not treated with elicitor or other stresses, so the production of PheGs and their intermediates are not actively biosynthesized in AIP-treated cells. It has also been reported that (Chapple et al. 1986) plant tyrosine decarboxylase (TYRDC) activity can be strongly inhibited by L-a-aminooxy-b-phenylpropionate, another PAL specific competitive inhibitor. TYRDC is a key enzyme in the production of salidroside from tyrosine. However, according to our results, the content of salidroside was not significantly affected by AIP treatment, which suggested that the TYRDC activity was not strongly affected. A specific activity assay using a TYRDC purified protein or recombinant protein is required to determine the effects of AIP on its activity.

Conclusions
Our results demonstrated that AIP treatment at 0.5 and 2.0 lM had no marked effects on cell growth but resulted in significant inhibition of PAL activity, biosynthesis, and accumulation of total phenolic compound and tested (phenylethanoid glycosides) PheGs in suspension cell culture of Cistanche deserticola. Linear regression analysis indicated that PAL activity had high correlation coefficients with total phenolic compound content and (phenylethanoid glycosides) PheGs content, except salidroside in all cell groups. Yields of total phenolic compounds and the five tested compounds had high correlation coefficients with total PAL activity-time AUC in untreated cells. Regarding AIP-treated cells, only echinacoside, acteoside, and tubuloside A retained high correlation coefficients with total PAL activity-time AUC. Different biosynthetic origins might be responsible for this difference. In conclusion, our results suggested that the PAL enzyme played an important role in controlling the biosynthesis and accumulation of (phenylethanoid glycosides) PheGs in the suspension cell culture of Cistanche deserticola.
Acknowledgments
This work was supported by the Dong-A University research fund. We would like to thank Professor Jerry Zon who works at the Institute of Organic Chemistry Biochemistry and Biotechnology, the Wrocław University of Technology in Poland for providing us AIP. We also would like to show our appreciation to Dr. Nobuhisa Ezaki at the Yomeishu Seizo Company in Japan for giving us standard compounds cistanoside A, acteoside, and tubuloside A for our experiments.
From: 'Effects of 2-aminoindan-2-phosphonic acid treatment on the accumulation of salidroside and four phenylethanoid glycosides in suspension cell culture of Cistanche deserticola' by Gao Sheng Hu, et al
---Plant Cell Rep (2011) 30:665–674 DOI 10.1007/s00299-010-0997-3
References
Chapple CCS, Walker MA, Ellis BE (1986) Plant tyrosine decarboxylase can be strongly inhibited by L-a-aminooxy-b-phenylpropionate. Planta 167:101–105
Cheng XY, Guo B, Zhou HY et al (2005) Repeated elicitation enhances phenylethanoid glycosides accumulation in suspension cell cultures of Cistanche deserticola. J Biochem Eng 24:203–207
Cheng XY, Zhou HY, Cui X, et al (2006) Improvement of phenylethanoid glycosides biosynthesis in Cistanche deserticola suspension cell cultures by chitosan elicitor. J Biotechnol 121(2):253–260
Ellis BE (1983) Production of hydroxyphenyl ethanol glycosides in suspension cultures of Syringa vulgaris. Phytochemistry 22(9):1941–1943
Gamborg OL, Miller RA, Ojima K (1968) Nutrient requirements of suspension cultures of soybean root cells. Exp Cell Res 50:151–158
Geng XC, Song LW, Pu XP et al (2004) Neuroprotective Effects of Phenylethanoid Glycosides from Cistanches salsa against 1-Methyl-4-phenyl-1,2,3,6-tetrahydro-pyridine (MPTP)-Induced Dopaminergic Toxicity in C57 Mice. Biol Pharm Bull 27(6):797–801
Hu GS (2007) Studies on the suspension cell culture and molecular biology of Cistanche deserticola. Master's degree thesis, Shenyang Pharmaceutical University Hu GS, Jia JM, Hur YJ, et al (2010) Molecular characterization of phenylalanine ammonia-lyase from Cistanche deserticola. Mol Bio Rep. doi:10.1007/s11033-010-0489-0
Karasawa H, Kobayashi H, Takizawa N et al (1986) Studies on the constituents of Cistanchis Herba. VIII. Yakugaku Zasshi 106(8):721–724
Kobayashi H, Karasawa H, Miyase T et al (1984a) Studies on the constituents of Cistanchis Herba. IV. Chem Pharm Bull 32(10):3880–3885
Kobayashi H, Karasawa H, Miyase T et al (1984b) Studies on the constituents of Cistanchis Herba. III. Chem Pharm Bull 32(8):3009–3014
Kobayashi H, Karasawa H, Miyase T et al (1985) Studies on the constituents of Cistanchis Herba. V. Chem Pharm Bull 33(4):1452–1457
Kobayashi H, Karasawa H, Takizawa N et al (1986) Studies on the constituents of Cistanchis Herba. VII. Yakugaku Zasshi 106(7):562–566
Liu CZ, Cheng XY (2008) Enhancement of phenylethanoid glycosides biosynthesis in cell cultures of Cistanche deserticola by osmotic stress. Plant Cell Rep 27:357–362
Liu JY, Guo ZG, Zeng ZL (2007) Improved accumulation of phenylethanoid glycosides by precursor feeding to suspension culture of Cistanche salsa. Biochem Eng J 33:88–93
Lu CT, Mei XG (2003) Improvement of phenylethanoid glycosides production by a fungal elicitor in suspension cell culture of Cistanche deserticola. Biotechnol Lett 25:1437–1439
Ouyang J, Wang XD, Zhao B, et al (2003a) Light intensity and spectral quality influencing the callus growth of Cistanche deserticola and biosynthesis of phenylethanoid glycosides. Plant Sci 165:657–661
Ouyang J, Wang XD, Zhao B, et al (2003b) Effects of rare earth elements on the growth of Cistanche deserticola cells and the production of phenylethanoid glycosides. J Biotechnol 102:129–134
Ouyang J, Wang XD, Zhao B, et al (2005) Enhanced production of phenylethanoid glycosides by precursor feeding to the cell culture of Cistanche deserticola. Process Biochem 40:3480–3484
Pu XP, Song ZH, Li YY et al (2003) Acteoside from Cistanche salsa inhibits apoptosis by 1, 2-methyl phenylpyridinium ion in cerebellar granule neurons. Planta Med 69:652–666
Saimaru H, Orihara Y (2010) Biosynthesis of acteoside in cultured cells of Olea europaea. J Nat Med 64:139–145
Sheng GQ, Pu XP, Lei L, et al (2002) Tubuloside B from Cistanche salsa rescue the PC12 neuronal cells from methyl phenyl pyridinium ion-induced apoptosis and oxidative stress. Planta Med 68:966–970
Singleton VL, Orthofer R, Lamuela-Ravento´s RM (1999) Analysis of total phenols and other oxidation substrates and antioxidants by means of Folin-Ciocalteu reagent. Method Enzymol 299:152–178
Tian XF, Pu XP (2005) Phenylethanoid glycosides from Cistanches salsa inhibit apoptosis induced by 1-methyl-4-phenylpyridinium ion in neurons. J Ethnopharmacol 97:59–63
Xiong Q, Kadota S, Tani T, et al (1996) Antioxidative effects of phenylethanoids from Cistanche deserticola. Biol Pharm Bull 19(12):1580–1585







